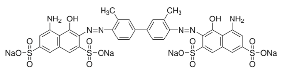
ラベルが読みにくいのだけれども Diaminblau 3B となんとか読めました。
Diaminblau 3B とは? ファストグリーンFCFとか、エリオクロムブラック Tとか物質名の最後に謎のアルファベットがついてるの、なんなのもう。
しかも最後のアルファベットだけ違う別の物質もあったりするし。たとえば。藤田九萬龜:組織學上ニ於ケルでいあみん色素群ノ應用 (第二回報告),日本微生物學病理學雜誌,25,12,p. 1505-1518,1931という満州事変の頃に書かれた論文を見ると、Diaminblau R, Diaminblau B, Diaminblau BB, Diaminblau 3R, Diaminblau Gとあります。このアルファベット、どういう規則性なんだろ。
さらに「ふん!Diaminblau 3Bっていうのかい?贅沢な名前だねぇ…!今からお前の名はTrypan Blueだ!いいかい、Trypan Blueだよ!」と別名もあったりするわけです。ちなみにこれ以外にもDirect Blue 14とかNiagara Blue 3Bとかテトラナトリウム 3,3’-[(3,3’-ジメチル-4,4’-ビフェニリレン)ビス(アゾ)]ビス[5-アミノ-4-ヒドロキシ-2,7-ナフタレンジスルホナート]と、たくさん名前があって贅沢です。
とどめにこれらのことをくわしく書いてある情報が乏しく、少なくともネットで検索するレベルでは、情報収集はかなりの根気とサーチ能力を必要とします。
CAS No.:72-57-1 C34H24N6O14S4Na4 = 960.81
これもアゾ染料の一種で、死んだ組織や細胞だけを青色に染める生体染色剤として使われます。


コメント